AbalaTips 101: Learning Biochemistry and Physiology --> ACTIVE LEARNING

 Good day mga ka Abalahin, welcome to AbalaTips, this time we will discuss on how did I approach the subject of Biochemistry and Physiology which is part of introductory subject a medical student must undertake to learn about the normal mechanisms of the human body. 

Disclaimers:

A, This AbalaTip is not intended to invalidate or to mention that your learning method is wrong, but rather this is a guide and to emphasize the advantages of active learning in medical school

B. Take note this will involve the correlation of two topics of my blog which is Visual Learning and Active Learning, however those two will only be applied to this blog and other subjects discussed individually as well. If you do not read those blogs, I would suggest you read those two blogs first before reading those since it will give you a hands-on application of blog. Pls click the title on the post below to read more about those blogs



This two topics also has SGD, please read also this blog and relate to what is written here

I will discuss the approach of the two topics in just one blog since personal opinion, these two can be correlated interchangeably, meaning you can apply lesson to each other to explain the mechanism of another subject 

The goal for the learner is to retain at least 30-50% and and by the end of the shifting exams or long exams, the goal is to learn and retain at least 90% and do the base which is to simplify, correlate and use mother tongue in terms of explaining the concepts learn and apply it in other subjects 


Physiology

Physiology involves the normal mechanism of action of the human body in general. This involves answering the question of how does the normal human body work? This will be the answer to that question, 

That's why aside from listening to the lecture, if you had tried to read Physiology textbooks, you will see that it is in Narrative format or Story-telling format with pictures and visualizations to it or picture in the textbook to explain better the topic

Cross Bridge Cycle from Berne and Levy 7th Ed.


The way that I did is after the lecture and reread the concept then the active learning part, based on my understanding and not just on what is written on the textbooks, as I said thats why it is in narrative format and only take note of the nooks and crannies and bullet it or list it in a piece of paper and the rest of information will be read and must be based on understanding of the subject matter.

Use mother tongue also as much as you also translate the information in the common words of Tagalog, that way you understand and visualize the illustrations on the textbook provided alongside of what you had learned in the lectures from your professors in medical school.

Same goes with your SGDs, it will be based also on your understanding of the topic on what you had discussed thus helping you retain more to 90% of information since it is active learning process, apply what you had learned in your SGDs. For the individual blog regarding this subject please refer to this blog here

Biochemistry
 Welcome to the biochemistry, this subject will involve into the chemistry involving life and what is the basic mechanisms or chemistry of Physiology, such as chemicals or building blocks should we say, the reactions occurring and byproducts in a normal human body, and how a destroyed biochemical pathway can produce a disease in the clinical setting. I will discuss the following in terms of bisecting this subject approach into three

A. Basic Chemistry or Building Blocks
B. Reaction or Cycle
C. Physiologic Biochemistry
D. Clinical Biochemistry

A. Basic Chemistry or Building Blocks
 These involve the basic structures of the building blocks such as Carbohydrates, Lipids, Proteins, and Nucleic acid in relation to the structure of human body 

This is an example of a building block, for example in Chemistry of Carbohydrates on how a basic structure can be seen. Take note most important things here are the following
1. which part of the structure is significant or how significant
2. which among the basic structure has the acidity or basicity or pH scale is (for example in proteins)

where pKa is the dissociation in which is used to compute for the dissociation of hydrogen or pH scale 
 

just look where the pKa is

3. know the polarity of the molecule or structures also, it will determine the stability of the structure (as shown above) 
4. learn how many carbons will be seen, example in carbohydrates and lipids


5. difference the presence and absence of one group to another (ex. Nucleotide vs Nucleoside, DNA vs RNA)


6. Application in clinical setting of a particular substance (ex, Minerals and Human body)

Tabulations here will be most important active learning aside from visualization, and analyzing the structures 

B. Reaction or Cycle

These will include the lysis, genesis etc.... of the reactions, take note of the important things here in this part

1. Learn the parts of the phase of the overall reaction (example the investment and payoff stage of glycolysis etc...)
2. Learn the rate-limiting reaction in which without it, the reactions or subsequent reaction will not take place


3. Learn the Irreversible and Reversible reactions esp the irreversible reactions.
4. Learn about the co-factors involved
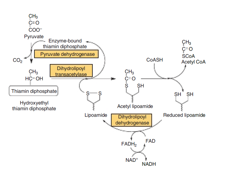
Here take a look at the Pyruvate Dehydrogenase complex involves Thiamin (Vit B12), Lipoamide, Acetyl CoA

5. The poisons or foreign materials which could have a deleterious effect 

6. The reverse of the irreversible reaction (ex. Glycogenesis, Gluconeogenesis vs Glycolysis)

C. Physiologic Biochemistry
 This involves the Biochemistry in relation to the physiology which it can be correlated to each other, example of which is Hormones, Signaling transduction pathways, Muscles, Collagen synthesis, and Red Blood cels structure, which can be correlated to physiology and even anatomy to learn about their normal structure, analyze well and try to understand take note and bullet the nooks and crannies (ex, role of Ankyrin and Spectrin in RBC) and correlate it to Physiology.

D. Clinical Biochemistry
 In medical schools, you can hear that this subject is Clinical Biochemistry or Medical Biochemistry but I'm pertaining here the relation of diseases in relation if there is an imperfection or something is damage in a particular reaction (ex, urea cycle, sphingolipidoses, mucopolysaccharidoses, etc..) that will cause particular or series of diseases 

Take note the way that I did for active learning is to make a table for this list the nook and crannies and take note of the illustrations of the cycle and correlate it to the disease entity, if you are now reading Pediatrics which is Nelson, apply this blog right here with above in bullet form





 



 

 

Mga Komento

Mga sikat na post sa blog na ito

AbalaTips 101: Active Learning Strategies in Philippine Medical Schools

AbalaTips 101: Clerkship/PGIship to Revalida/Mockboards Preparation with Bonus: Comprehensive Exams

AbalaTIPS 101: Philippine Medical Exam Test Taking Strategies: Art and Skills of